2026年03月30日 星期一 07:28:25
欢迎访问广西第一工业学校官网~
|
收藏网站
首页
学校概况
学校简介
领导班子
机构设置
学校荣誉
联系我们
招生就业
校企合作
招生信息
专业介绍
专业建设
机电工程部
汽车工程部
经贸信息部
基础文化部
教学科研
教学成果
学生作品
优秀教师
党群工作
党建工作
纪检监察
新时代文明实践所
理论学习
团建工作
工会活动
学生工作
学生社团
心理健康
学生资助
班主任工作室
校园相册
校园环境
学生活动
教学设备
在线报名
特种作业考培
继续教育中心简介
特种作业简介
特种作业工种
培训计划
考试安排
通知公告
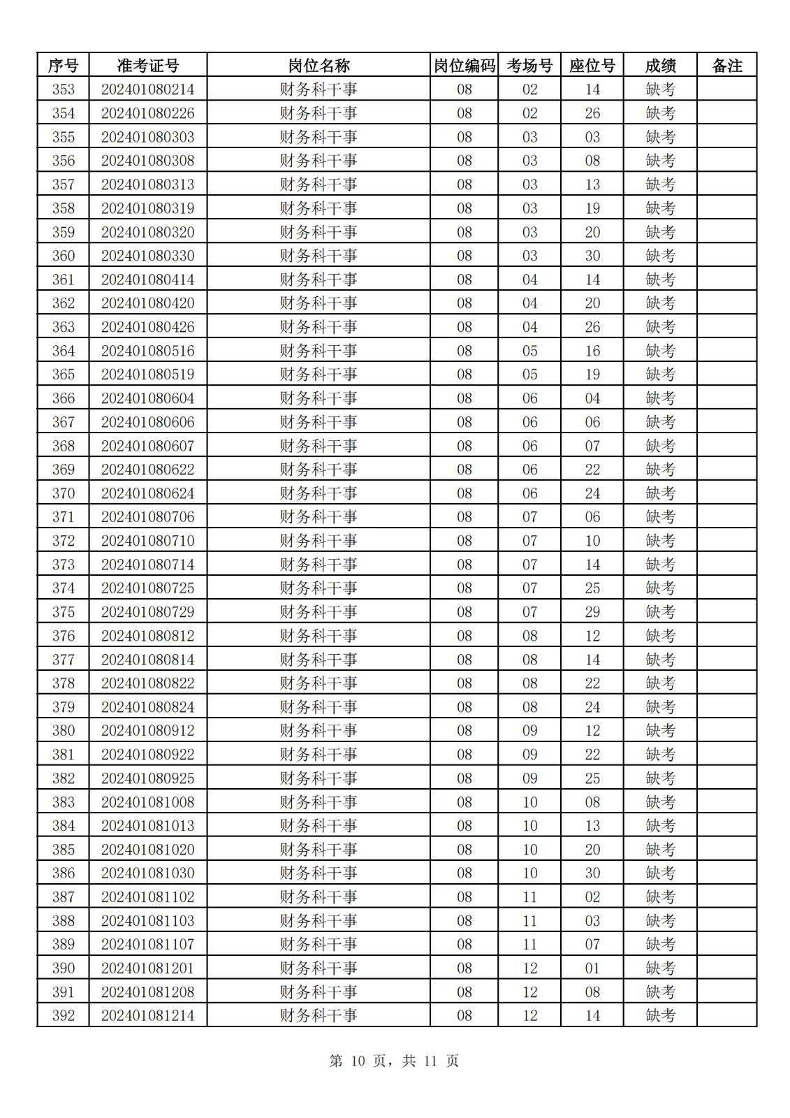
广西第一工业学校2024年公开招聘实名编制工作人员笔试成绩公告
发布时间:2024年12月02日
上一篇
广西第一工业学校 2024年度公开招聘实名编制工作人员笔试公告
下一篇
广西第一工业学校关于取消2024年度公开招聘实名编制工作人员“数学教师1”岗位招聘的公告
在线
咨询
咨询热线
咨询热线
07712513032
微信咨询
公众号
关注学校公众号
返回顶部